经过1周的赌戒指初步探索,我觉得这个系列足够做很长很长时间的工作了,在此把一些所思所想和大家来进行一些分享,既然选择了公开发表,那么必然就不在意各种评论,只要传达我想传达的就可以了。

精简版:
对于以94级角色赌戒指为例(其实赌戒指不需要这么高等级):
1)亮金戒指适合用二项分布来描述
2)暗金戒指适合用泊松分布来描述
注:因为绿色戒指没用,蓝色戒指除了高mf、fcr/6lm巴哈姆特这几种其余也没用。
注2:概率仅供参考,并不能真实预测具体每一次的结果;说白了就是信不信随意啦啦~~~~~~~~

以下是推算与估计,有兴趣的朋友可以来玩味一下:
二项分布,也叫0-1分布,也就是通常说的“抛硬币问题”,如果说抛1次硬币,A面向上的概率是p,那么抛n次硬币,问“k次向上的概率是多少?”
根据二项式定理的展开式,我们很容易得到二项分布的概率公式,也就是如下:

式1
一般地,二项分布针对的是n次独立试验,每次试验有且只有2个结果(A或B),且每次发生事件A的概率均为p。数学期望易得出为E=np。
以赌博买到亮金戒指概率为0.1为例,那么买1000个戒指,数学期望自然是E=np=100,那么获得100个亮金戒指的概率如何呢?

乍一看觉得很低是吗,这说明,正好买出100个亮金戒指的概率是很低的,但买出80-120个亮金戒指的概率:

式3
就很高,所以概率并不预测每一次的具体结果,但是可以告诉我们大概率发生的事件是什么,也就是说如果我们买1000个戒指,获得80-120亮金戒指的概率高达97%,虽然看起来没什么用,但我们可以知道,想要人品爆炸,买出150个,200个亮金戒指或者人品败尽只有三五十个也都是几近不可能的。如果用图像表示,那么就是这样:

图1
但,暗金戒指,用这种方法估计并不是一个明智的选择,理由是:
暗金戒指的掉率1/2000实在是一个太小的数字。
我们曾经在赌海鸥的文章中说过,面对1/2000的概率,如果赌2000次,那么获得海鸥得概率是1-e^-1=63.21%,也就是2/3不到,这其实是一种最初的认识。
事实上,数学上,早就有人对这种二项分布中的特殊情形,“小概率事件”的二项分布进行研究,这便是大名鼎鼎,我大二一直当时没搞懂全靠死记硬背的泊松分布。
泊松分布实为二项分布的极限特例,它是在二项分布上作了两点近似:
①n→+∞,②p→0
即n是一个很大的数,也就是说试验次数非常非常多,而p概率是一个很小很小的数,而我们知道二项分布的数学期望是E=np,这里就定义了一个新变量,也就是泊松分布中的λ,定义为:λ=np。
我们从二项分布的概率公式出发:

式4
展开组合数,代入λ=np,消去n,可得:

式5
由于n是一个非常非常大的数,而k,也就是小概率事件发生的次数,往往是一个很小的整数,如1,2,3,4,5,6;换算到游戏里,例如“赌出1个乔丹的概率”类似这样,因此n(n-1)(n-2)···(n-k+1)可以看作是k个n的乘积,即:

式6
根据幂的运算法则,回代λ=np,同时对(1-p)^(λ/p-k)进行变形:

式7
我们知道,根据两个重要极限之一自然对数的底数e的定义,由于小概率事件前提“p趋向于0”,那么式7可以进一步变形为:

式8
整理后,即可得到著名的泊松分布的概率公式:

式9

由此,我们可以发现:
“刷装备”本质上是一种伯努利试验,它服从二项分布;而“刷稀有装备”本质上是二项分布的一种极限特例,用泊松分布来描述更合适。
从计算上说,泊松分布的计算更加简便,下面我们以以前考虑过的“1/2000概率赌海鸥匕首,赌2000次获得海鸥匕首”为例,用两种分布公式进行求解:
二项分布:

式10
泊松分布(此例中λ=np=2000*1/2000=1):

式11
进一步可以求出,二者的误差仅为0.00015,可以说,此时使用泊松分布是很方便了。
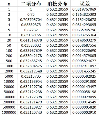
下面我们来讨论一下“小概率”应该是多小,才叫小:
我们来讨论λ=np=1时,使用二项分布和泊松分布求解p(x>0)的结果及误差:

表1
用对数坐标画图:

图2
结合图2、表1可以看出:
1)泊松分布计算出的值偏小,即小于准确值二项分布
2)随着n不断增大,二项分布的值越来越接近泊松分布
3)约n>100时,图像上肉眼几乎不可见,二项分布约等于泊松分布
再结合误差分析,我个人的结论是:
i) 我理解的小概率事件,是指发生概率<1%(即上文n>100)的事件
ii) 小概率事件用泊松分布估计更方便,概率越低,误差越小。以赌暗金物品为例(n=2000),使用泊松分布估计误差仅为0.00015,即不到0.015%。

后记:
这篇文章算是一段时间以来的所思所想了,想起大四当初第一次看到63.21%这个结果,激动得觉得发现了新世界,结果最近重新审视,发现居然就是大二概率课上学过的泊松分布,只可惜我当时一直不理解泊松分布为什么如此,从来都是死记硬背,居然在暗黑2整出这一套,这我属实没想到。
回想一下暗黑2给我带来的快乐究竟在何处,我觉得这种快乐是复杂的:除了爆装备,卖货挣符文的快感;体验游戏机制似乎也让我乐在其中。
我希望自己可以长期验证一下这个机制,感谢大家一直以来的支持,我也会努力做出更高质量的内容回馈大家,希望大家继续支持啦~
祝大家游戏愉快!
评论
记得前面有评论说up单纯考虑获取难度而判定物品价值,不太妥当。我是觉得这样算很有意思😂
我概率论重修了三次
式7,8还是看不懂,泊松分布的e咋来的还是很懵懂![[捂脸]](【暗黑2:狂赌】二项分布与泊松分布 - 哔哩哔哩_files/df4247ad6a3ee8f7670813a194389d22.avif)
所以说还是乖乖刷,不要赌暗金了
大佬,你太狠了
概率论白雪了……orz
@米特 “这也是乐趣的所在”